seuOJ
首页
题库
比赛
评测
排名
讨论
帮助
登录
注册
测试点信息
评测方式:
文本比较
单个子任务
测试点分数按百分比相加
1.in
1.out
文件列表
文件名
文件大小
下载
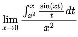
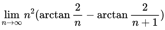
题目描述
完整数据包
30 K
1.in
17 B
1.out
6 B
P1.png
8 K
P2.png
12 K
P3.png
10 K
共 5 个文件,总大小 30 K